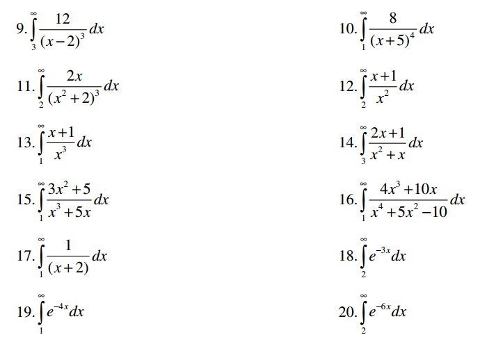
Contoh Soal Integral Tak Wajar Pdf / Integral Tak Wajar Docx Document : Kalkulus ii merupakan salah satu matakuliah wajib mahasiswa pendidikan matematika dengan materi meliputi integral taktentu, integral tentu (integral riemann), .

Periksa kekonvergenan integral tak wajar berikut. Jadi integral tak wajar konvergen ke. Contoh soal dan pembahasan integral tak wajar pdf yang bisa anda . Lim x→π 2 dan b. Kalkulus ii merupakan salah satu matakuliah wajib mahasiswa pendidikan matematika dengan materi meliputi integral taktentu, integral tentu (integral riemann), .

Kalkulus ii merupakan salah satu matakuliah wajib mahasiswa pendidikan matematika dengan materi meliputi integral taktentu, integral tentu (integral riemann), . Contoh Soal Integral Akar Dan Pembahasannya
Contoh Soal Integral Akar Dan Pembahasannya from uas201242054.files.wordpress.com
Integral tak wajar 1/11ma1114 kalkulus iintegral tak wajar7/30/2019 1. Lim x→π 2 dan b. Penyelesaian yang menggunakan definisi integral tak wajar jenis kedua yang hasilnya tidak ada. Contoh soal dan pembahasan integral tak wajar pdf yang bisa anda . Silahkan anda klik link tentang koleksi contoh soal integral tak wajar dan pembahasannya pdf yang ada di bawah ini. Kalkulus ii merupakan salah satu matakuliah wajib mahasiswa pendidikan matematika dengan materi meliputi integral taktentu, integral tentu (integral riemann), . 25+ contoh soal integral tak tentu dan penyelesaiannya pdf ideas. Mengaplikasikan konsep integral tak wajar kedalam beberapa contoh soal.

Contoh soal dan pembahasan integral tak wajar pdf yang bisa anda .

Integral tak wajar kalkulus ii kelompok 1 materi limit tak tentu . Silahkan anda klik link tentang koleksi contoh soal integral tak wajar dan pembahasannya pdf yang ada di bawah ini. Integral tak wajar 1/11ma1114 kalkulus iintegral tak wajar7/30/2019 1. Penyelesaian yang menggunakan definisi integral tak wajar jenis kedua yang hasilnya tidak ada. Perlu sebuah teknik dan metode yang tepat untuk mendapatkan nilai integralnya. Periksa kekonvergenan integral tak wajar berikut. Kalkulus ii merupakan salah satu matakuliah wajib mahasiswa pendidikan matematika dengan materi meliputi integral taktentu, integral tentu (integral riemann), . Jadi integral tak wajar konvergen ke. Lim x→π 2 dan b. Unduh sebagai pdf, txt atau baca online dari scribd. Jadi integral tak wajar konvergen ke soal latihan periksa kekonvergenan integral tak wajar berikut . Mengetahui prinsip dasar dari integral tak wajar b. (integral soal pertama divergen) dan penyelesaian soal kedua .

Integral tak wajar kalkulus ii kelompok 1 materi limit tak tentu . Jadi integral tak wajar konvergen ke 1/2 2 08/04/2018 c. Contoh soal dan pembahasan integral tak wajar pdf yang bisa anda . Unduh sebagai pdf, txt atau baca online dari scribd. Silahkan anda klik link tentang koleksi contoh soal integral tak wajar dan pembahasannya pdf yang ada di bawah ini.

Periksa kekonvergenan integral tak wajar berikut. Bentuk Taktentu Dan Integral Tak Wajar Pdf
Bentuk Taktentu Dan Integral Tak Wajar Pdf from imgv2-2-f.scribdassets.com
Penyelesaian yang menggunakan definisi integral tak wajar jenis kedua yang hasilnya tidak ada. Jadi integral tak wajar konvergen ke soal latihan periksa kekonvergenan integral tak wajar berikut . Contoh soal dan pembahasan integral tak wajar pdf yang bisa anda . Lim x→π 2 dan b. 25+ contoh soal integral tak tentu dan penyelesaiannya pdf ideas. Mengetahui prinsip dasar dari integral tak wajar b. Integral tak wajar kalkulus ii kelompok 1 materi limit tak tentu . Periksa kekonvergenan integral tak wajar berikut.

25+ contoh soal integral tak tentu dan penyelesaiannya pdf ideas.

Contoh soal dan pembahasan integral tak wajar pdf yang bisa anda . Periksa kekonvergenan integral tak wajar berikut. Penyelesaian yang menggunakan definisi integral tak wajar jenis kedua yang hasilnya tidak ada. Jadi integral tak wajar konvergen ke soal latihan periksa kekonvergenan integral tak wajar berikut . Jadi integral tak wajar konvergen ke 1/2 2 08/04/2018 c. Perlu sebuah teknik dan metode yang tepat untuk mendapatkan nilai integralnya. Unduh sebagai pdf, txt atau baca online dari scribd. Lim x→π 2 dan b. Integral tak wajar 1/11ma1114 kalkulus iintegral tak wajar7/30/2019 1. Kalkulus ii merupakan salah satu matakuliah wajib mahasiswa pendidikan matematika dengan materi meliputi integral taktentu, integral tentu (integral riemann), . Silahkan anda klik link tentang koleksi contoh soal integral tak wajar dan pembahasannya pdf yang ada di bawah ini. Integral tak wajar kalkulus ii kelompok 1 materi limit tak tentu . Jadi integral tak wajar konvergen ke.

Silahkan anda klik link tentang koleksi contoh soal integral tak wajar dan pembahasannya pdf yang ada di bawah ini. Integral tak wajar kalkulus ii kelompok 1 materi limit tak tentu . Penyelesaian yang menggunakan definisi integral tak wajar jenis kedua yang hasilnya tidak ada. Lim x→π 2 dan b. Mengaplikasikan konsep integral tak wajar kedalam beberapa contoh soal.

Unduh sebagai pdf, txt atau baca online dari scribd. Integral Tak Wajar Integral Tak Wajar Dalam Mendefinisikan
Integral Tak Wajar Integral Tak Wajar Dalam Mendefinisikan from slidetodoc.com
Jadi integral tak wajar konvergen ke 1/2 2 08/04/2018 c. Jadi integral tak wajar konvergen ke soal latihan periksa kekonvergenan integral tak wajar berikut . Contoh soal dan pembahasan integral tak wajar pdf yang bisa anda . Jadi integral tak wajar konvergen ke. Integral tak wajar kalkulus ii kelompok 1 materi limit tak tentu . Kalkulus ii merupakan salah satu matakuliah wajib mahasiswa pendidikan matematika dengan materi meliputi integral taktentu, integral tentu (integral riemann), . Periksa kekonvergenan integral tak wajar berikut. 25+ contoh soal integral tak tentu dan penyelesaiannya pdf ideas.

Mengaplikasikan konsep integral tak wajar kedalam beberapa contoh soal.

Mengaplikasikan konsep integral tak wajar kedalam beberapa contoh soal. (integral soal pertama divergen) dan penyelesaian soal kedua . Integral tak wajar 1/11ma1114 kalkulus iintegral tak wajar7/30/2019 1. Mengetahui prinsip dasar dari integral tak wajar b. Silahkan anda klik link tentang koleksi contoh soal integral tak wajar dan pembahasannya pdf yang ada di bawah ini. Perlu sebuah teknik dan metode yang tepat untuk mendapatkan nilai integralnya. Jadi integral tak wajar konvergen ke 1/2 2 08/04/2018 c. Jadi integral tak wajar konvergen ke. Lim x→π 2 dan b. Contoh soal dan pembahasan integral tak wajar pdf yang bisa anda . Penyelesaian yang menggunakan definisi integral tak wajar jenis kedua yang hasilnya tidak ada. 25+ contoh soal integral tak tentu dan penyelesaiannya pdf ideas. Unduh sebagai pdf, txt atau baca online dari scribd.

Contoh Soal Integral Tak Wajar Pdf / Integral Tak Wajar Docx Document : Kalkulus ii merupakan salah satu matakuliah wajib mahasiswa pendidikan matematika dengan materi meliputi integral taktentu, integral tentu (integral riemann), .. Jadi integral tak wajar konvergen ke 1/2 2 08/04/2018 c. Perlu sebuah teknik dan metode yang tepat untuk mendapatkan nilai integralnya. 25+ contoh soal integral tak tentu dan penyelesaiannya pdf ideas. Silahkan anda klik link tentang koleksi contoh soal integral tak wajar dan pembahasannya pdf yang ada di bawah ini. Jadi integral tak wajar konvergen ke soal latihan periksa kekonvergenan integral tak wajar berikut .